网站首页  百科知识

请输入您要查询的百科知识:

 

词条 棉酚
类别 中文百科知识
释义

棉酚gossypol

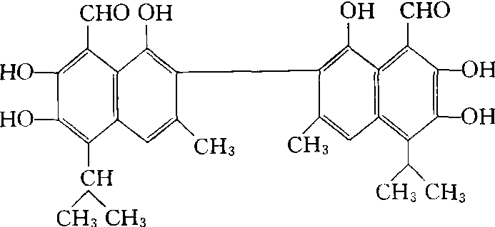
棉籽中含有的酚类物质。结构式为:

在棉籽(仁)饼粕中的棉酚有两种:
❶结合棉酚。不被家畜消化吸收,可很快排出体外,毒性极低。
❷游离棉酚。对单胃家畜有害,应限量饲用。饲料中游离棉酚含量超过安全界限,将导致家畜生长迟缓、中毒或死亡。中毒症状主要为:贫血、精神萎靡、呼吸困难、体弱、繁殖力降低、甚至不育。病理解剖可见体内广泛性出血及水肿。螺旋压榨法与溶剂提法生产的棉籽饼粕相比,游离棉酚含量低。在棉籽(仁)饼粕中加入硫酸亚铁,使游离棉酚与亚铁离子成1:1,两者可螫合生成不能被家畜吸收的物质,从而大大降低游离棉酚的毒性。不含棉酚的新品种棉籽,称为无腺体棉籽。
随便看

 

开放百科全书收录579518条英语、德语、日语等多语种百科知识,基本涵盖了大多数领域的百科知识,是一部内容自由、开放的电子版国际百科全书。

 

Copyright © 2000-2025 oenc.net All Rights Reserved
更新时间:2025/10/19 19:01:31