网站首页  百科知识

请输入您要查询的百科知识:

 

词条 灭瘟素
类别 中文百科知识
释义

灭瘟素blasticidin-S

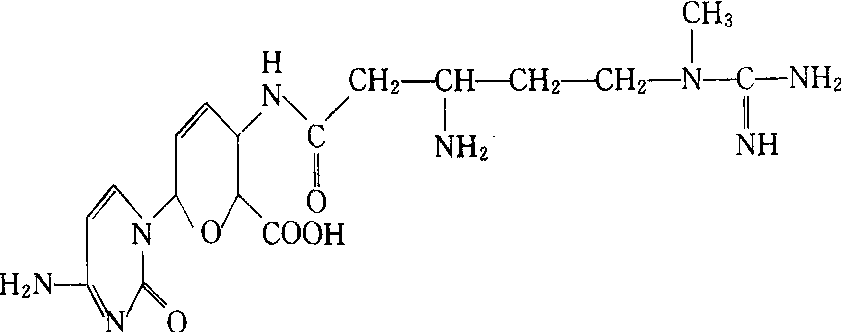
选择性内吸治疗的抗生素类杀菌剂。它是由一种放线菌(Streptomycesgreseochromogenes)代谢物中分离出来的结构复杂的碱。化学结构式:

它对稻瘟病的疗效首先为日本发现,后来中国农业科学院微生物研究所亦分离出相同的放线菌,并得到相同的代谢物。
性能 作为农用杀菌剂的是其苄氨基苯磺酸盐,此盐纯品为白色针状结晶,熔点253~255℃(分解),可溶于醋酸,难溶于水及大多数有机溶剂。对温血动物中等毒性。原药对雄性和雌性大鼠急性口服LD50分别为56.8毫克/千克和55.9毫克/千克,对大鼠急性经皮LD50为3100毫克/千克,急性吸入4小时LC50<0.0032毫克/升。对大鼠眼睛和兔皮肤有刺激作用。不致畸,未见致突变作用。小鼠两代繁殖试验未见异常。对大鼠和狗两年喂饲试验的无作用剂量分别为38微克/(千克· 天)和0.5微克/(千克·天)。对鱼类毒性较低,鲤鱼48小时LC50>40毫克/升。桑叶被其污染后10天喂蚕无影响。对水稻稻瘟病有内吸治疗作用。它可抑制孢子萌发,菌丝的发育和孢子的形成,其中对菌丝生长的抑制作用更为明显。其杀菌作用主要是影响蛋白质的合成。此外还具有抗病毒活性。
应用 防治叶稻瘟病通常在出现急性病斑时施药,防治穗颈瘟时在孕穗末期用药一次或病情严重流行时在齐穗期再施药一次。喷施浓度为20~40毫克/升。在此浓度下,对水稻胡麻斑病和小粒菌核病也有一定防治效果,同时可降低水稻条纹病毒病的感染率。水稻分蘖期易产生药害,尤其是浓度高、用量大时,会引起叶斑。此外,番茄、茄子、烟草、桑树、兰科和十字花科对此药剂亦很敏感,施药时应防止药液飘移到这些作物上。加工剂型有2%乳油、4%可湿性粉剂和0.16%粉剂。施药时,可与对硫磷、敌百虫、杀螟松等有机磷或有机砷制剂混用。不宜与波尔多液等强碱性农药混施。

灭瘟素blasticidinS

又称稻瘟散。农用杀菌剂。由灰色放线菌代谢产物。化学名称:对苯甲胺基磺酸杀稻病菌素S。化学结构式如下。纯品为白色结晶,室温下每8 ml水溶1 g,可溶于醋酸,难溶于有机溶剂。成品为盐酸盐或硫酸盐。用于防治稻瘟病、具内吸治疗作用,抑制菌丝生长,孢子产生及孢子萌芽,其作用机理是抑制菌体蛋白质合成过程中氨基酸的活化,使结合到tRNA的量减少。超过规定使用剂量时,对水稻植株有药害,分蘖期尤为敏感,表现为叶片上不规则失绿斑点,最后枯黄。对人畜口服毒性大,豚鼠口服LD50为32.1 mg/kg,对皮肤毒性小,对眼睛刺激大。小鼠经皮LD50为220 mg/kg药剂在植株内或在土壤中降解快,不造成残留。

随便看

 

开放百科全书收录579518条英语、德语、日语等多语种百科知识,基本涵盖了大多数领域的百科知识,是一部内容自由、开放的电子版国际百科全书。

 

Copyright © 2000-2025 oenc.net All Rights Reserved
更新时间:2026/5/30 12:35:04