网站首页  百科知识

请输入您要查询的百科知识:

 

词条 纹枯利
类别 中文百科知识
释义

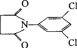
纹枯利dimetachlone

又名菌核净。杂环类杀菌剂。化学名称:N-3,5-二氯苯基丁二酰亚胺。化学结构式如下。原药为黄色结晶,可溶于乙醇、甲醇、丙酮、氯仿、苯中。30℃时水中溶解度为240 mg/kg,对热和酸稳定,遇碱分解,在日光照射下也会分解,对核盘菌和葡孢霉菌、丝核菌有活性,用于防治水稻纹枯病、菌核病等。豆科、茄科植物应慎重,以免药害。小鼠口服急性LD50为1 250 mg/kg,大鼠口服后,24 h内由尿道排出,对组织和器官无影响,如日服二甲基亚硝胺500 mg/kg,使其肾部近中12曲小管中的细胞受损伤,随后口服菌核净,一星期后,受伤部位细胞恶变,12星期后呈癌症前期症状。

随便看

 

开放百科全书收录579518条英语、德语、日语等多语种百科知识,基本涵盖了大多数领域的百科知识,是一部内容自由、开放的电子版国际百科全书。

 

Copyright © 2000-2025 oenc.net All Rights Reserved
更新时间:2025/10/19 13:25:18