网站首页  百科知识

请输入您要查询的百科知识:

 

词条 函数的相等
类别 中文百科知识
释义

函数的相等hanshu de xiangdeng

对于函数f(x)和g(x),当且仅当它们有相同的定义域,并且对在它们的定义域内的每一个x,f(x)和g(x)的值相等,就说f(x)和g(x)是相等的.
例如,函数y=|x|,z=,它们的定义域都是实数集R,且对每个x∈R来说,|x|=.因此这两个函数是相等的.
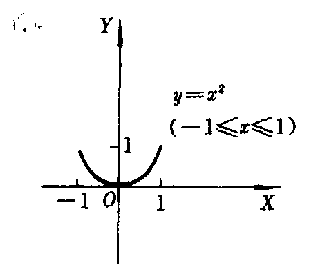
又如,函数f1(x)=x2(x∈R),f2(x)=x2(x≥0),f3(x)=x2,(-1≤x≤1).
这三个函数,虽然给出它们的解析式是一样的,但是由于它们定义域不一样,因此它们是不同的函数,从它们的图象更容易看出它们不相等(如图1、图2、图3).

图1


图2

图3

随便看

 

开放百科全书收录579518条英语、德语、日语等多语种百科知识,基本涵盖了大多数领域的百科知识,是一部内容自由、开放的电子版国际百科全书。

 

Copyright © 2000-2025 oenc.net All Rights Reserved
更新时间:2025/10/19 18:16:02