网站首页  百科知识

请输入您要查询的百科知识:

 

词条 茶叶咖啡碱
类别 中文百科知识
释义

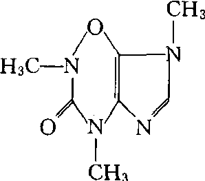
茶叶咖啡碱caffeine of tea

又称茶素或咖啡因。化学名称:1,3,7-三甲基-2,6-二氧嘌呤或1,3,7-黄嘌呤。茶叶生物碱之一。其结构式如右。1827年在茶叶中发现,呈白色有丝绢光泽的针状结晶体、无臭,有苦味。熔点为235~238℃ ,120℃开始升华,可用灼烧法制取咖啡碱。难溶于水和酒精,能溶于加热的水、乙醇、丙酮,易溶于氯仿。为碱性极弱的生物碱,水溶液呈中性反应。它是构成茶汤滋味的重要成分,对提高茶叶品质有积极作用。在红茶中的咖啡碱能和茶黄素、茶红素等品质成分形成复合物,提高茶汤的鲜爽度,红茶茶汤冷后出现混浊(冷后浑)现象,就是这种复合物产生的乳状沉淀表现。冷后浑程度越明显,表明茶汤中形成的复合物越多。茶叶嫩度与咖啡碱含量成正相关。

随便看

 

开放百科全书收录579518条英语、德语、日语等多语种百科知识,基本涵盖了大多数领域的百科知识,是一部内容自由、开放的电子版国际百科全书。

 

Copyright © 2000-2025 oenc.net All Rights Reserved
更新时间:2025/10/19 21:10:49